金属罐质量控制-涂覆镀锡(或铬)薄板钢板的检验(二)
试验方法
(1)样片 供物理化学指标检验用的样片,应用切刀裁取,取样部位和尺寸见图5-5。
(2)试验溶液配制 试验溶液采用分析纯试剂、蒸馏水配制。
(3)外观 目视检查。
①光源:至少两支40W日光灯。
②光源与样品的距离为750~800mm,检验者的眼睛与样品的距离为350~400mm,进行目视检查。
③外观要求:
a.涂膜应光滑平整,色泽基本一致,无熔锡、无焦化。
b.涂膜上不应有影响使用的杂质、气泡、砂眼等缺陷。
c.涂膜上不应有穿透涂膜的擦伤。
d.素铁面上不应有露铁的支架伤及带料。
图5-5检验样品的取样部位和尺寸
1—测涂膜厚度(50mm×50mm) 2—测附着力(120mm×30mm)
3一测耐蚀力(50mm×50mm) 4—测抗酸性(100mm×25mm)
5一测抗硫性(100mm×25mm) 6—测耐蒸煮性(100mm×25mm)
7一测抗冲击性(100mm×100mm)
e.留空带的位置和宽度的误差均应小于士1.0mm,留空部位不应带料。
(4)涂膜厚度
①脱膜称重法(仲裁法):
a.试液溶液:碳酸钠溶液(30~50g/L)称取无水碳酸钠30~50g,用水溶解并稀释至1000mL。
b.试验步骤:
(a)样片经丙酮清洁、自然干燥后,用分析天平称重(m)。测值精确至0.1mg。
(b)将涂覆镀锡薄钢板样片置于90~95℃的碳酸钠溶液中,以样片为阴极,不锈钢薄板为阳极,在4~6V直流电压下脱膜。待涂膜完全脱净后,取出样片,迅速水洗、干燥。此时镀锡薄钢板表面不应有黑变。
(c)将涂覆镀铬薄钢板样片平置,用浸过丙酮的方糖块在涂膜上反复擦拭。当涂膜基本擦除时,再用蘸有丙酮的棉花擦净表面碎屑,自然干燥。
(d)将脱膜后的镀锡(或铬)薄钢板样片再次称重(m2)。测值精确至0.1mg。
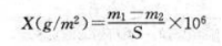
c.结果计算:涂膜厚度X以单位面积的涂膜量(g/m²)表示,按下式计算。
式中m1——样片脱膜前的称重值,g
m2——样片脱膜后的称重值,g
S——样片面积,mm²
计算结果表示至小数点后一位。
d.样品的涂膜厚度应是三个样片测值的算术平均值。
②仪器法:用精度为0.5g/m²的电子测厚仪进行测定。
③涂膜厚度以单位面积的涂膜量表示,涂膜量及同板差应符合表5-4的规定。
表5-4 涂膜量及同板差
注:(1)涂膜厚度不在标准之内的产品,同板差按涂膜薄的一类产品的规定执行。
(2)对涂膜厚度有特定要求时,应由供需双方商定,并列人合同。
(5)附着力
①样片在螺距为1.5mm的划痕仪上,用90~100r/mim的速度,划出长度为60~80mm、直径为10mm的螺纹线。划线应以穿透涂模为度。
②用毛笔刷去划掉的涂膜。将宽度为25.4mm的3M610粘胶带,粘贴在螺纹线上,用食指腹平移紧压,并留出15-20mm粘胶带作为握持。
③在桌面上用手指压住样片的一端,将粘胶带以斜上方向快速从涂膜上撕下。见图5-6。
图5-6将粘胶带从涂膜上撕下
④观察划圈内涂膜被撕下的程度,按表5-5评定附着力。
表面涂有合成蜡的防粘镀锡(或铬)薄钢板,应去除蜡层后按①~④进行试验和评定。
表5-5 附着力评定
⑤样品的附着力应是三个样片测值的算术平均值。
⑥附着力应符合表5-6的规定。
表5-6 附着力
注:涂膜厚度不在标准之内的产品,附着力按涂膜薄的一类产品的规定执行。
(6)抗酸性
①试验溶液:
a.醋酸溶液(3%)
量取冰醋酸30mL,用水稀释至1000mL。
b.柠檬酸溶液(20g/L)
称取柠檬酸(C₆H₈O₇·H₂O)20g,用水溶解并稀释至1000mL。
②试验步骤:
a.将涂覆镀锡薄钢板样片反复折叠成间距为3mm的方块,浸没于盛有试验溶液的惰性容器中,加盖密封。试验溶液距容器的盖内面应在5~7mm。
b.将涂覆镀铬薄钢板样片反复折叠成间距为3mm的方块,浸没于盛有试验溶液的惰性容器中,加盖密封。试验溶液距容器的盖内面应在5~7mm。
c.将试验容器置于高压锅内,加热至121℃并保持30min,自然降压、冷却后,取出样片,洗净、干燥。观察涂膜状况。
③经试验后涂膜无气泡、无脱落、无变色、无泛白。
(7)抗硫性
①试验溶液:
L型半胱氨酸盐酸盐(0.5g/L)、磷酸二氢钾(3.6g/L)、磷酸氢二钠(7.2g/L)的混合溶液称取L型半胱氨酸盐酸盐(C₃H₈NO₂SCI)0.50g或L型半胱氨酸盐酸盐(C₃H₈NO₂SCI·eH₂O)0.56g、磷酸二氢钾3.60g、磷酸氢二钠(Na₂HPO₄·12H₂O)7.20g,分别用水溶解后,混合并稀释至1000mL。混合溶液应在配制后4h内使用。
②试验步骤:
a.将样片反复折叠成间距为3mm的方块,浸没于盛有试验溶液的惰性容器中,加盖密封。试验溶液距容器的盖内面应在5~7mm。
b.将试验容器置于高压锅内,加热至121℃并保持60min,自然降压、冷却后,取出样片,洗净、干燥。观察涂膜状况。
③经试验后涂膜无明显硫斑、无脱落。
(8)耐蒸煮性
①将样片反复折叠成间距为3mm的方块,将2个样片浸没于盛有蒸馏水的惰性容器中,另两个样片置于不加水的惰性容器中。
②将试验容器置于高压锅内,加热至121℃并保持30min,自然降压、冷却后,取出样片。观察涂膜状况。
③耐蒸煮性。外壁涂覆的产品经试验后涂膜无气泡、无脱落、无变色、无泛白。
(9)耐蚀力
①试验溶液:
柠檬酸(50g/L)、硝酸钠(0.14g/L)、抗坏血酸(0.5g/L)的混合溶液称取柠檬酸(C₆H₈O₇·H₂O)50g、硝酸钠0.14g、抗坏血酸0.50g,分别用水溶解后,混合并稀释至1000mL。试验溶液应在配制后4h内使用。
②试验步骤:
a.在样片的背面焊上导线,用熔化的蜂蜡涂布样片的背面和边角。
b.将样片浸入试验溶液中。以直径为4mm、长度为10mm的不锈钢棒为阴极、样片为阳极,接入15V直流电源,造成阳极腐蚀。1h后取出样片,洗净、干燥。观察腐蚀斑的大小和数量。
③样片的耐蚀力按表5-7评定。
表5-7 耐蚀力评定
④样品的耐蚀力应是三个样片测值的算术平均值。
⑤对某些特定产品,经双方同意,可以采用其它腐蚀介质。
⑥耐蚀力应符合表5-8的规定。
表5-8 耐蚀力
注:用于抗硫的磁漆产品、C类产品及外壁涂覆的产品,此项指标不作要求。
(10)抗冲击性
①试验溶液:
硫酸铜溶液(50g/L)称取硫酸铜(CuSO₄·5H₂O)50g,用水溶解并稀释至1000mL。
②试验步骤:
a.将样片的被测面向下插人冲击仪,以1kg重锤从1m高度冲下;或将样片冲成直径为60~90mm的罐盖。冲制过程中应不损伤钢基板。
b.将冲击样或罐盖浸入硫酸铜溶液中,30min后取出样片,洗净、干燥。观察冲击样的半球面或罐盖的腐蚀状况。
③经试验后,涂膜无密集腐蚀点。
