马口铁三片罐的质量控制-冷轧电镀锡薄钢板(二)
检验
(1)表面质量目测检查 目视检查钢板,锡层均匀平滑,不得有伤痕、凹坑、折皱、锈斑和其它影响使用的缺陷。
(2)厚度
①千分尺法:千分尺测量精度0.001mm。
测量钢板厚度时,距钢板轧制方向边部的距离不小于10mm。
测量钢板横向厚度分布(薄边)时,距钢板轧制方向边部的距离不小于6mm。通常用千分尺测量厚度,当厚度测量发生异议时,以称重法为准。
②称重法:
其中,
钢板的称量精确到2g;
钢板长宽测量精确到0.5mm;
钢板厚度的计算精确到0.001mm;
对所有钢板的厚度进行平均,得到货批的平均厚度。
从试验钢板的中部和边部各取一片试样,用称重法分别求出它们的厚度,可以得出一张钢板的厚度变化,即同板差(见图5-1试样部位图),样片的称量精确到0.01g,长度和宽度测量精确到0.1mm,厚度的计算精确到0.001mm。
(3)长度和宽度 买方验证板卷的长度,是用剪切成张的钢板平均长度,乘以钢板总张数,加上板卷其它部分的总长度,测量平均长度至少任取10张钢板,测量精确到0.2mm。也可以用双方协定的其它方法测量。
测量板卷的宽度时,把钢板放在平坦面上,垂直于轧制方向,横跨钢板中心进行测量,测量精确到0.5mm。
测量板卷的长度和宽度时,把钢板放在平坦面上,横跨钢板中心进行测量,测量精确到0.5mm。
X-镀锡量试样 Y-硬度和同板差试样 Z-拉伸或回弹试样
(4)形状偏差
①镰刀弯:钢板镰刀弯在1000mm内不超过0.15%。
板卷在6000mm弦长上测得的镰刀弯不超过6mm,或者在1000mm弦长上测得的镰刀弯不超过1mm。
②切斜不超出0.15%。
式中
A——偏差
B——钢板长度或宽度
③不平度:钢板1000mm不平度不大于3mm。
冷轧电镀锡板可能出现如毛刺、边部浪形、纵向弯曲、横向弯曲等现象,在标准GB/T 2520—2000中没有规定测量方法,也没有规定允许界限,允许界限是随买方所用设备而有所不同。
图5-2L一弦长W一轧制宽度D一相对直线的偏差
(5) 镀锡量 在每张待检钢板上垂直于轧制方向取出边、中、边3块样片,边部样片离边线距离不小于25mm,分别精确测定面积。
样片清洗:
a.在0.5%碳酸钠溶液中,进行阴极处理;
b.用脱脂棉浸透丙酮擦拭样片。
镀锡量用g/m²表示,精确到0.1g/m²。
对于日常质量控制,可以采用任何一种公认的适用方法测量镀锡量。在发生异议的情况下应采用GB/T 1838标准中的容量法。
一个货批的镀锡量是所有单个样片镀锡量的平均值。单个样片镀锡量的测量值不能代表一个货批的镀锡量,可低至最小平均镀锡量的80%。
①容量法:容量法又称碘量法,为测量镀锡量的仲裁法。容量法是将制好并经清洗处理好的镀锡板样片溶解在盐酸中,用金属铝把全部锡还原成二价态,用标准碘酸钾溶液滴定以测定还原态的锡。
本方法重现性为士0.1g/m²,有效测量范围是2.5~50g/m²。对于测定超过上述范围的镀锡量,则需配制浓度适当的碘酸钾溶液,以保证合适的滴定液体积。
②库仑定量法:库仑定量法为常规测量镀锡量的方法。它基于1C电量可以从镀锡板中分离出锡的量,以镀锡板样片作为阳极,用一个电极元件为负极,在1mol/L盐酸电解液中,能以相反电流以恒定的速度脱去镀锡层。设定好电压,仪器系统自动识别出锡层和合金层的锡被完全腐蚀消耗尽的交界点。通过记录样片与银参比电极之间产生的电位差,相对于时间记录下来,于是腐蚀时间与镀层厚度之间呈线型比例,应用法拉第电解定律就可算出游离锡及合金锡的镀锡量。图5-2所示为#25镀锡板电解脱锡T-V(时间-电压)关系。
电解锡耗电量Q=IT
游离锡量=
合金锡量=
总镀锡量=游离锡量+合金锡量
式中
I——电解脱锡所需电流,A
T——电解脱锡所需时间,s
r——脱锡面积的半径,m
0.65——脱去合金锡所需电流的常数
测量过程中三个参数决定镀锡量测量的准确度:
图5-3 #25镀锡板电解脱锡TV
a.脱锡面积的精确度;
b.电流的精确度;
c.时间测量的精确度。
(6)硬度 用测量同板差的试样进行硬度试验。对于仲裁试验,试样应先脱除锡层,经200℃下20min的人工时效,然后根据GB/T 1818进行硬度试验。
厚度不超过0.22mm的镀锡板,建议采用HR15T标尺进行试验,其试验结果通过换算,用HR30Tm表示。
一个货批的硬度是所有单个样片硬度的平均值。单个样片硬度值对平均范围的偏离不允许超过1个硬度单位。
(7)二次冷轧电镀锡板力学性能
①拉伸试验:拉伸试验是采用试验机测量二次冷轧电镀锡板力学性能的基准检测法。
从二次冷轧板的每张试验钢板上的边部和中部沿轧制方向切取两条试样(200mm×25mm),边部试样离边线的距离不小于25mm。试验前在200℃下人工时效20min。
按照GB/T 228—2002用于平行部分宽度为12.5mm×1mm,标距50mm的试样作拉伸试验,测定规定非比例延伸强度。测量值如表5-1所示。图5-3所示为0.15mm二次冷轧板力学性能测量值(变形力)。
②回弹试验:二次冷轧板力学性能的日常测定采用回弹试验代替。回弹试验不是基准试验,发生争议时以拉伸试验为准。
从二次冷轧板的每张试验钢板上在边部和中部沿轧制方向切取两条200×25mm的试样,边部试样离边线的距离不小于25mm。试验前在200℃下人工时效20min。先测量试样的厚度,精确到0.001mm,将试样固定在回弹试验仪,平衡摆动成形臂使试样绕过心轴弯曲180°,成形臂回复到起始位置,根据试样厚度和回弹角度与回弹仪配套的列线图板上测量回弹指数SBI。换算公式Rp=6.9SBI(N/mm²)。
金属铁片室温拉伸试验试验报告
试样宽度(b)12.5mm
试样厚度(a)0.15mm
原始标距(Lo)75mm
引伸计标距(Le)50mm
规定非比例延伸率(Rp)0.2%
执行标准GB/T 228—2002
表5-1
测量值

图5-40.15mm二次冷轧板力学性能测量值变形力
(8)K板铁溶值(ISV)
①实验原理:在模拟罐头内部少氧的反应条件下,样片上暴露的铁与硫氰酸铵作用,生成血红色的硫氰酸铁铵,在适当的条件下,颜色的深浅与溶出的铁离子浓度成正比关系。通过与铁标准溶液的颜色进行比色定量测定。ISV反映镀锡板锡层的均匀性,即露铁的程度。ISV值越高,露铁点越多。
适用于镀锡量不低于5.6g/m²电镀锡板。
②试剂:
a.纯铁粉:亦称还原铁粉,分析纯;
b.硫氰酸铵:分析纯;
c.浓硫酸:相对密度为1.84,浓度98%,分析纯;
d.浓硝酸:分析纯;
e.过氧化氢液:浓度30%,分析纯;
f.碳酸钠:化学纯或分析纯。
③仪器和用具:
a.直流电源:输出电压0~30V,输出电流0~5A,可调;
b.751GD紫外可见分光光度计;
c.试验杯:自制;
d.恒温培养箱:精确到0.1℃,0~50℃可调;
e.玻璃器皿:50mL比色管,25mL移液管,1mL、2mL、10mL吸管,100mL、500mL、1000mL容量瓶,烧杯、药瓶、玻璃棒等。
④试验溶液的配置:
a.2.18mol/L硫酸:取30.5mL浓硫酸稀释至500mL,于500mL容量瓶中定容,存贮与500mL磨石药瓶中。
b.硫氰酸铵溶液:称取20.0g硫氰酸铵溶于500mL水中,于500mL容量瓶中定容,存贮于500mL磨石药瓶中。
c.3%过氧化氢溶液:准确量取5mL 3%过氧化氢,用水稀释至50mL,用50mL容量瓶定容后,存贮于50mL棕色药瓶中。
d.0.5%碳酸钠溶液:称取5g的碳酸钠溶于1000mL水中,于电解槽或1000mL烧杯中备用。
e.1:1的盐酸溶液:按体积比配制10mL1:1的盐酸溶液。
⑤样品处理:
a.取样:从供试验的马口铁板上,按锡层厚度试验取样的部位或其临近处切取并剪成直径约为69mm的圆形试样。
b.清洗:将试样于0.5%的碳酸钠溶液中,进行电解清洗,碳棒接正极,样片接负极,电流1.5~2.0A,清洗时间30s(时间视油量多少而定)。油除净后用蒸馏水冲洗,然后用丙酮干燥。
c.浸蚀:准确量取23.0mL2.18mol/L的硫酸,2.0mL3%过氧化氢液(新配),25.0mL硫氰酸铵溶液于洗净的试验杯中,将清洗后的样片待测试面朝下盖在杯的垫圈上,并拧紧盖,然后倒置放于26.7℃(±2.8℃)的恒温培养箱中,保温2h。
⑥分析步骤:
a.分光光度计的调整
(a)选择钨灯,开启电源开关,让仪器预热30min后,再将仪器的波长旋钮调至485nm处。
(b)按仪器要求调整好设备待用。
b.铁标准曲线的绘制
(a)铁标准贮备液的配制。用分析天平准确称取0.15g的纯铁粉于干净的烧杯中,用1:1的硝酸溶液微热溶解,待铁粉完全溶解后,加入5mL浓硫酸,并加热至冒烟,冷却后再加入55.6mL的浓硫酸,然后用蒸馏水稀释定容至1000mL。
(b)铁标准工作液。准确量取10.0mL铁标准贮备液,用2.18mol/L(1/2H₂SO₄)稀释定容至100mL。
(c)比色用标准溶液的配制。按表5-2要求配制标准溶液。
表5-2 标准溶液的配制
(d)测量:分别将编号0~5号的比色液按浓度由低至高分别加入2cm的比色皿中(一次可放四个比色皿)。选择空白皿(0号)进行调零。调零后,按MOVE键显示A值,然后分别对标准比色液和样品液进行测定,分别记录A值。
(e)标准曲线的绘制。以吸光值(A值)为横坐标,铁离子浓度为纵坐标,对测出的A₁、A2、A₃、A₄、As和相应的铁浓度值进行描点,并画出最接近的直线(通过原点)。
(f)样品铁离子含量的查找。通过标准曲线与测出样品A,可在曲线上查出相应的铁离子微克数。
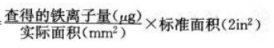
⑦计算:
ISV=
⑧附注:
实际面积的测定:可以测量腐蚀圈的圆面直径算出。
(9)K板锡晶粒度(TCS)
①实验原理:锡层晶粒度反映锡层晶粒的大小对耐蚀性的影响,一般晶粒大的镀锡板耐蚀性能较好。锡层晶粒度的大小主要取决于镀锡板生产过程中的软熔工艺。锡层晶粒度肉眼不易观察;但经三氯化铁硫化钠溶液浸蚀后,则能清晰地显示出来。
适用于镀锡量不低于5.6g/m²电镀锡板。
②试剂:
a.碳酸钠:分析纯
b.三氯化铁:分析纯
c.硫化钠:分析纯
d.丙酮:分析纯
③仪器和用具:
a.直流电源:输出电压0~30V,输出电流动0~5A,可调。
b.玻璃器皿:500mL烧杯、蒸发皿、玻璃棒等。
④试验溶液的配制:
a.0.5%碳酸钠溶液(电解液)。
b.试验溶液(每1L含有三氯化铁100g和硫化钠0.75g)。
⑤试验方法:
a.样片准备:裁取7cm×7cm样片,用丙酮脱脂后,放入注有电解液的容器中,以碳棒和样片作电极,在10V直流电压下,进行阳极为0.1s,阴极2s反复清洗多次,至样片表面不挂水珠为好。
b.晶粒显示:将处理好的样片浸入试验溶液中,在室温下经5~15s后,使晶粒显示出来,取出洗净与标准样板对照评定等级。
⑥判定方法:对照表5-3判定样板的等级。
表5-3 各号样板的晶粒直径和晶粒数(1in²或6.4cm²)
⑦验收标准:根据上述表格判定,通常晶粒大的镀锡板耐蚀性能较好。一般要求不大于9级(即晶粒直径不小于1.6mm)。
备注:此项试验通常用于≥50#的镀锡马口铁。
(10)K板合金-锡电偶合(ATC)
①实验原理:合金-锡电偶合试验(ATC试验)利用测量镀锡板的合金层与纯锡之间所产生的电流来评价合金层的均匀致密性,耦合电流越小,致密性越好,反之致密性越差。
适用于镀锡量不低于5.6g/m²电镀锡饭。
②实验仪器与试剂:
a.仪器:50×120mm²不锈钢板(一块),双刀双置开关(一个),电线(若干),500mL烧杯(两个),500mL洗瓶(一个),100mL蒸发皿(一个),毛笔(一支),石棉网(一个),可调电阻电炉(一个),硫酸纸(若干张),切纸刀(一个),纯锡丝(100cm²),铜线(若干),试验池(1400mL),配备减压阀的氮气瓶(一个),恒温装置(一个),脚踏剪板机(一台),测量线路(含250Ω×1,100Ω×1,51Ω×1,24Ω×1),可调式直流稳压稳流电源(SK1731SL5A),AC15型直流复射式检流计(AC15/4)。
b.试剂:0.5%碳酸钠溶液,5%氢氧化钠溶液,丙酮,蜂蜡,氯化亚锡,28%番茄酱或100%葡萄柚汁,山梨酸钾,99.99%高纯氮。
③实验方法:
a.取样:在马口铁取样指定部位,切取8mm×100mm的样片12~15条。
b.清洗:先用丙酮脱脂。再以样片为阳极,不锈钢板为阴极,在0.5%Na₂CO₃溶液中,接通10V直流电源,阳极0.1s,阴极3s,反复清洗三次。用水冲洗样片时,表面不带水珠为清洗干净。
c.脱锡:在室温下,在5%NaOH溶液中,以洗净后的样片为阳极,不锈钢为阴极,于0.4V直流恒压下,进行电解脱锡。在脱锡将近终点时(终点为脱锡过程中电流变为0时),将电压调至0.2V,继续脱锡1~2min。至脱锡完全(此时只剩下合金层),取出冲洗后用丙酮迅速干燥。
d.切纸:用切纸刀切出5mm×200mm 12~15硫酸纸条。
e.覆蜡:将上述样片,除供试验面积5mm×40mm外,全部涂上蜂蜡。涂蜡过程中以电炉小火加热,蜂蜡刚冒烟为准,在供试验面积外均匀涂上一层蜂蜡。特别是样品的边角和拐角的地方应涂蜡2~3次,以确保供试验面积外的地方能够被蜂蜡完全保护起来。(需要注意的是如果为差厚铁,供试验面积应在高锡面那里)。
f.焊接:将涂完蜂蜡的样片用电烙铁焊在有铜线的橡皮塞样片柱上。
g.联接
(a)试验池消毒:试验池中所有橡胶用件试验前在10%NaOH溶液中煮沸5min,并彻底清洗。实验池及其全部用件也应彻底消毒。
(b)锡极清洗:在0.5%Na₂CO₃溶液中,用10V.D.C,阳极0.1s,阴极3s,反复清洗三次,用水冲洗干净备用。
(c)试验液制备:用28%番茄酱加9倍水重或100%葡萄柚汁,加热煮沸后小火微热排氧15~20min。冷却至28℃。加入0.190g氯化亚锡(SnCl₂·2H₂O)和0.5g山梨酸钾,定容至1000mL。将配制好的试验液倒入试验池,通入氮气,放置24h待用。
(d)将8个样片,逐个先与锡极短路后,再插入试验池。在所有样片与锡极耦合后,通人氮气,如此保持26.7℃,20h。
h.电流测试:20h后,用AC15/4直流复射式检流计测出ATC值。
④实验结果判定:ATC≤0.12μA/cm²(GB/T 2520—2000)。
